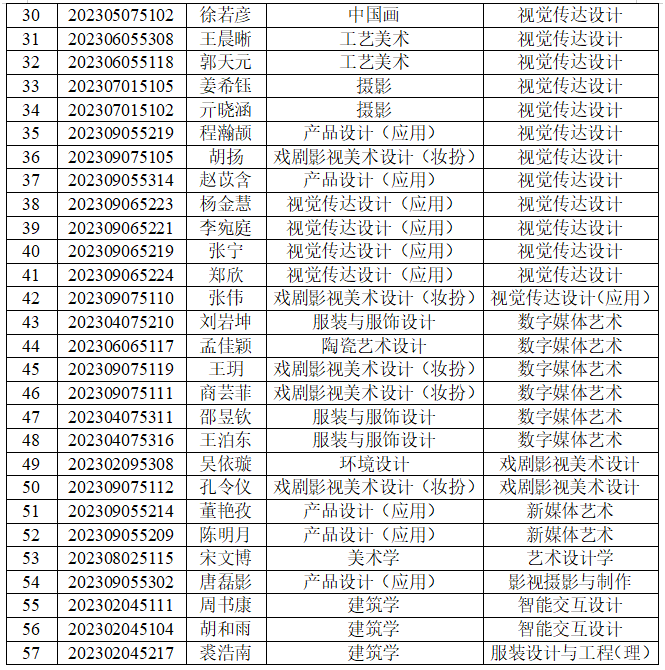
根据《威尼斯7798cc关于全日制本科生转专业的办法》(鲁工美院办字【2014】22号)规定,学校组织了2023级本科 128名学生转专业报名和考试工作。根据规定,普通理科专业录取办法按平均学分绩点排名,由高到低排名择优录取;艺术类专业按考试成绩合格后,成绩由高到低排名择优录取。经考核,同意李梦雨等57名同学拟转入申请专业学习。为体现转专业工作的公开、公平、公正性,现将结果公示如下:


公示期5月22日—5 月27日,公示期内如有异议,请联系教务处学籍管理科。邮箱:xjk@sdada.edu.cn ,联系电话:89626213。
教务处
2024年5月22 日